GitHub

https://github.com/Choidongjun0830

2024/07 23

1.1 디자인 패턴

'면접을 위한 CS 전공지식 노트' 책을 보며 공부한 내용입니다. 싱글톤 패턴하나의 클래스에 오직 하나의 인스턴스만 가진다.보통 DB 연결 모듈에 많이 사용한다. 장점생산 비용 감소단점의존성 증가TDD(Test Driven Development)를 할 때 방해된다. : TDD를 할 때는 단위 테스트를 주로 하는데, 단위 테스트는 각각이 독립적이어야 하며, 테스트를 독립적으로 실행할 수 있어야 한다. 하지만, 싱글톤은 미리 생성해둔 하나의 인스턴스로 구현하는 것이라서, 각 테스트마다 독립적이기 힘들다.의존성 주입으로 모듈 간의 결합을 조금 더 느슨하게 만들 수 있다.메인 모듈이 직접 하위 모듈에 의존성을 주는 것이 아닌, 의존성 주입자가 메인 모듈에 간접적으로 의존성을 주입함으로써, 메인 모듈은 하위 모듈..

CS 2024.07.31

[프로그래머스] Lv2. 쿼드압축 후 개수 세기 🙁

쿼드압축 후 개수 세기문제 설명0과 1로 이루어진 2n x 2n 크기의 2차원 정수 배열 arr이 있습니다. 당신은 이 arr을 쿼드 트리와 같은 방식으로 압축하고자 합니다. 구체적인 방식은 다음과 같습니다.당신이 압축하고자 하는 특정 영역을 S라고 정의합니다.만약 S 내부에 있는 모든 수가 같은 값이라면, S를 해당 수 하나로 압축시킵니다.그렇지 않다면, S를 정확히 4개의 균일한 정사각형 영역(입출력 예를 참고해주시기 바랍니다.)으로 쪼갠 뒤, 각 정사각형 영역에 대해 같은 방식의 압축을 시도합니다.arr이 매개변수로 주어집니다. 위와 같은 방식으로 arr을 압축했을 때, 배열에 최종적으로 남는 0의 개수와 1의 개수를 배열에 담아서 return 하도록 solution 함수를 완성해주세요.제한사항ar..

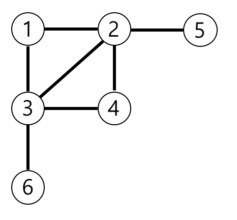
[프로그래머스] Lv3. 가장 먼 노드 / 그래프

가장 먼 노드문제 설명n개의 노드가 있는 그래프가 있습니다. 각 노드는 1부터 n까지 번호가 적혀있습니다. 1번 노드에서 가장 멀리 떨어진 노드의 갯수를 구하려고 합니다. 가장 멀리 떨어진 노드란 최단경로로 이동했을 때 간선의 개수가 가장 많은 노드들을 의미합니다.노드의 개수 n, 간선에 대한 정보가 담긴 2차원 배열 vertex가 매개변수로 주어질 때, 1번 노드로부터 가장 멀리 떨어진 노드가 몇 개인지를 return 하도록 solution 함수를 작성해주세요.제한사항노드의 개수 n은 2 이상 20,000 이하입니다.간선은 양방향이며 총 1개 이상 50,000개 이하의 간선이 있습니다.vertex 배열 각 행 [a, b]는 a번 노드와 b번 노드 사이에 간선이 있다는 의미입니다.입출력 예nvertexr..

[프로그래머스] Lv3. 합승 택시 요금 / 그래프🙁

합승 택시 요금문제 설명[본 문제는 정확성과 효율성 테스트 각각 점수가 있는 문제입니다.]밤늦게 귀가할 때 안전을 위해 항상 택시를 이용하던 무지는 최근 야근이 잦아져 택시를 더 많이 이용하게 되어 택시비를 아낄 수 있는 방법을 고민하고 있습니다. "무지"는 자신이 택시를 이용할 때 동료인 어피치 역시 자신과 비슷한 방향으로 가는 택시를 종종 이용하는 것을 알게 되었습니다. "무지"는 "어피치"와 귀가 방향이 비슷하여 택시 합승을 적절히 이용하면 택시요금을 얼마나 아낄 수 있을 지 계산해 보고 "어피치"에게 합승을 제안해 보려고 합니다.위 예시 그림은 택시가 이동 가능한 반경에 있는 6개 지점 사이의 이동 가능한 택시노선과 예상요금을 보여주고 있습니다.그림에서 A와 B 두 사람은 출발지점인 4번 지점에서..

[프로그래머스] Lv2. 하노이의 탑 🙁

하노이의 탑문제 설명하노이 탑(Tower of Hanoi)은 퍼즐의 일종입니다. 세 개의 기둥과 이 기동에 꽂을 수 있는 크기가 다양한 원판들이 있고, 퍼즐을 시작하기 전에는 한 기둥에 원판들이 작은 것이 위에 있도록 순서대로 쌓여 있습니다. 게임의 목적은 다음 두 가지 조건을 만족시키면서, 한 기둥에 꽂힌 원판들을 그 순서 그대로 다른 기둥으로 옮겨서 다시 쌓는 것입니다.한 번에 하나의 원판만 옮길 수 있습니다.큰 원판이 작은 원판 위에 있어서는 안됩니다.하노이 탑의 세 개의 기둥을 왼쪽 부터 1번, 2번, 3번이라고 하겠습니다. 1번에는 n개의 원판이 있고 이 n개의 원판을 3번 원판으로 최소 횟수로 옮기려고 합니다.1번 기둥에 있는 원판의 개수 n이 매개변수로 주어질 때, n개의 원판을 3번 원판으..

[프로그래머스] Lv2. 구명 보트 / 탐욕법

구명보트문제 설명무인도에 갇힌 사람들을 구명보트를 이용하여 구출하려고 합니다. 구명보트는 작아서 한 번에 최대 2명씩 밖에 탈 수 없고, 무게 제한도 있습니다.예를 들어, 사람들의 몸무게가 [70kg, 50kg, 80kg, 50kg]이고 구명보트의 무게 제한이 100kg이라면 2번째 사람과 4번째 사람은 같이 탈 수 있지만 1번째 사람과 3번째 사람의 무게의 합은 150kg이므로 구명보트의 무게 제한을 초과하여 같이 탈 수 없습니다.구명보트를 최대한 적게 사용하여 모든 사람을 구출하려고 합니다.사람들의 몸무게를 담은 배열 people과 구명보트의 무게 제한 limit가 매개변수로 주어질 때, 모든 사람을 구출하기 위해 필요한 구명보트 개수의 최솟값을 return 하도록 solution 함수를 작성해주세요..

[프로그래머스] Lv2. 마법의 엘리베이터

마법의 엘리베이터문제 설명마법의 세계에 사는 민수는 아주 높은 탑에 살고 있습니다. 탑이 너무 높아서 걸어 다니기 힘든 민수는 마법의 엘리베이터를 만들었습니다. 마법의 엘리베이터의 버튼은 특별합니다. 마법의 엘리베이터에는 -1, +1, -10, +10, -100, +100 등과 같이 절댓값이 10c (c ≥ 0 인 정수) 형태인 정수들이 적힌 버튼이 있습니다. 마법의 엘리베이터의 버튼을 누르면 현재 층 수에 버튼에 적혀 있는 값을 더한 층으로 이동하게 됩니다. 단, 엘리베이터가 위치해 있는 층과 버튼의 값을 더한 결과가 0보다 작으면 엘리베이터는 움직이지 않습니다. 민수의 세계에서는 0층이 가장 아래층이며 엘리베이터는 현재 민수가 있는 층에 있습니다.마법의 엘리베이터를 움직이기 위해서 버튼 한 번당 마법..

[프로그래머스] Lv2. 업그레이드 된 아이템 구하기 MYSQL

업그레이드 된 아이템 구하기문제 설명어느 한 게임에서 사용되는 아이템들은 업그레이드가 가능합니다.'ITEM_A'->'ITEM_B'와 같이 업그레이드가 가능할 때'ITEM_A'를 'ITEM_B' 의 PARENT 아이템,PARENT 아이템이 없는 아이템을 ROOT 아이템이라고 합니다.예를 들어 'ITEM_A'->'ITEM_B'->'ITEM_C'와 같이 업그레이드가 가능한 아이템이 있다면'ITEM_C'의 PARENT 아이템은 'ITEM_B''ITEM_B'의 PARENT 아이템은 'ITEM_A'ROOT 아이템은 'ITEM_A'가 됩니다.다음은 해당 게임에서 사용되는 아이템 정보를 담은 ITEM_INFO 테이블과 아이템 관계를 나타낸 ITEM_TREE 테이블입니다. ITEM_INFO 테이블은 다음과 같으며, IT..

SQL 문제 풀이 2024.07.29

[프로그래머스] Lv4. 오프라인/온라인 판매 데이터 통합하기 MYSQL

오프라인/온라인 판매 데이터 통합하기문제 설명 다음은 어느 의류 쇼핑몰의 온라인 상품 판매 정보를 담은 ONLINE_SALE 테이블과 오프라인 상품 판매 정보를 담은 OFFLINE_SALE 테이블 입니다. ONLINE_SALE 테이블은 아래와 같은 구조로 되어있으며 ONLINE_SALE_ID, USER_ID, PRODUCT_ID, SALES_AMOUNT, SALES_DATE는 각각 온라인 상품 판매 ID, 회원 ID, 상품 ID, 판매량, 판매일을 나타냅니다.Column nameTypeNullableONLINE_SALE_IDINTEGERFALSEUSER_IDINTEGERFALSEPRODUCT_IDINTEGERFALSESALES_AMOUNTINTEGERFALSESALES_DATEDATEFALSE동일한 날짜..

SQL 문제 풀이 2024.07.29

[프로그래머스] Lv2. 오픈채팅방 / 2019 KAKAO BLIND RECRUITMENT

오픈채팅방문제 설명오픈채팅방카카오톡 오픈채팅방에서는 친구가 아닌 사람들과 대화를 할 수 있는데, 본래 닉네임이 아닌 가상의 닉네임을 사용하여 채팅방에 들어갈 수 있다.신입사원인 김크루는 카카오톡 오픈 채팅방을 개설한 사람을 위해, 다양한 사람들이 들어오고, 나가는 것을 지켜볼 수 있는 관리자창을 만들기로 했다. 채팅방에 누군가 들어오면 다음 메시지가 출력된다."[닉네임]님이 들어왔습니다."채팅방에서 누군가 나가면 다음 메시지가 출력된다."[닉네임]님이 나갔습니다."채팅방에서 닉네임을 변경하는 방법은 다음과 같이 두 가지이다.채팅방을 나간 후, 새로운 닉네임으로 다시 들어간다.채팅방에서 닉네임을 변경한다.닉네임을 변경할 때는 기존에 채팅방에 출력되어 있던 메시지의 닉네임도 전부 변경된다.예를 들어, 채팅방..

728x90